partypoker dodaja še večjo vrednost svojemu svetovnemu prvenstvu WPT 2021 z uvedbo lestvice Player of the Championship. 50 igralcev partypokra si bo…
partypoker dodaja še večjo vrednost svojemu svetovnemu prvenstvu WPT 2021 z uvedbo lestvice Player of the Championship. 50 igralcev partypokra si bo…

partypoker dodaja še večjo vrednost svojemu svetovnemu prvenstvu WPT 2021 z uvedbo lestvice Player of the Championship. 50 igralcev partypokra si bo razdelilo 50.000 $ denarnih nagrad, zmagovalec pa si bo zagotovil laskavi naslov igralca prvenstva in impresivnih 10.000 $ nagrade. Z uvrstitvami v denarne nagrade na WPTWOC si prislužite točke za Player of the Championship lestvico.
100 $ je najmanj, kar lahko kdorkoli osvoji za uvrstitev na lestvico najboljših, toda končni igralec prvenstva dobi v roke dobrih 10.000 dolarjev.
WPT World Online Championship Player of the Championship izplačila
| Place | Prize |
| 1 | $10,000 |
| 2 | $7,500 |
| 3 | $5,000 |
| 4 | $2,500 |
| 5 | $2,250 |
| 6 | $2,000 |
| 7 | $1,750 |
| 8 | $1,500 |
| 9 | $1,250 |
| 10 | $1,000 |
| 11-20 | $750 |
| 21-30 | $500 |
| 31-40 | $250 |
| 41-50 | $100 |
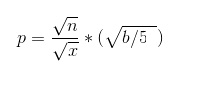
Točke so podeljujejo po naslednji formuli:

WPT World Online Championship na partypokru se je že začelo in bo potekalo vse do 13. septembra, zato je časa za odigranje turnirjev še precej.
Main event bo imel kar 5.000.000 $ garantiranega sklada. Turnir bo štiridnevni, začetni leti bodo potekali tri zaporedne nedelje, od nedelje 29. avgusta. Drugi dan bo 13. septembra, tretji dan naslednji dan, finalna miza pa septembra 15, zadnji dan serije.

Na glavni dogodek WPTja se igralci lahko uvrstijo že za vsega en cent. Sateliti potekajo skozi celoten dan, vsak dan, finalne faze pa se odigrajo vsako nedeljo.
—————————————————————————-
ODPRI SVOJ PARTYPOKER RAČUN